齿轮是通过轮齿啮合传递回转运动的,它与螺纹同样是机械设计中必不可少的零件。而且,齿轮也与螺纹一样分为各种不同的类型,设计高速重载齿轮时其强度计算是必须进行的。
齿轮的尺寸用齿顶圆直径、齿根圆直径、齿厚及齿宽等表示(图1)。齿轮与齿轮相互啮合的点称为啮合点,这个点的运动轨迹称为啮合圆。其次,在分度圆的圆周上,一个轮齿两侧齿廓间的弧长称为该轮齿的齿厚,在齿轮的一个齿槽内其两侧齿线的弧长称为该轮齿的齿槽宽。还有,齿厚与齿槽宽之间的差距,也就是说啮合传动的轮齿反转时的游隙称为齿间隙,为了使齿轮平稳啮合必须要有适度的齿间隙。

图1 齿轮的各部分名称
虽然齿轮与齿轮的分度圆的尺寸不同,但只要齿形相同,就能进行啮合传动。表示齿形相同与否用的是将分度圆直径d(mm)除以齿数z(枚)所得到的值,就是模数(图2)。模数(m)与分度圆直径和齿数有m=d/z的关系。例如,分度圆的直径为50mm,齿数为25 的齿轮模数为m=50/25=2。

图2 模数
齿轮有直齿圆柱齿轮、斜齿圆柱齿轮、齿条及伞齿轮等类型(图3)。在各种齿轮类型中,常用的是齿向与轴平行的直齿圆柱齿轮,作为动力传递,直齿圆柱齿轮的应用是最多的。

图3 各种类型的齿轮传动
为了抑制直齿圆柱齿轮啮合时产生的振动或噪声,有齿向相对于齿轮的轴线倾斜了一个角度的斜齿圆柱齿轮,但斜齿圆柱齿轮有产生轴向作用力的缺点。还有,将直齿圆柱齿轮在平面上展开就称为齿条,通过齿条与较小的直齿圆柱齿轮的啮合传动,能够实现旋转运动和直线运动的变换。相交两轴间传动使用的齿轮称为伞齿轮,伞齿轮有齿为直线的直齿伞齿轮以及齿为斜线的斜齿伞齿轮。
为了使齿轮的啮合平稳,需要对轮齿的形状进行更深入的研究,目前在JIS标准中,采用加工方法简单、生产效率高的渐开线(图4)来研究标准轮齿的啮合传动。

图4 渐开线
将直径尺寸不同的齿轮组合进行啮合,能够改变传递的旋转速度。设传递运动的主动齿轮与被传递运动的被动齿轮的旋转速度分别为n1和n2、齿数分别为z1和z2、分度圆直径分别为d1和d2,使用模数就能推导出下式所示的传递速度比i的计算式(图5)。

图5 齿轮的传递速度比
即使啮合齿轮的数量增加,这一关系的计算式也成立(n3 为第三个被动齿轮的旋转速度,z3 为第三个被动齿轮的齿数)。
这就是说,齿轮传递的速度比是由主动齿轮和被动齿轮的齿数比决定的,而与中间存在的齿轮数量无关。
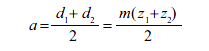
另外,两齿轮轴的中心距离a 可用下式表示。